光束操控的核心器件,有AOM, EOM,AOD,EOD。今天我们来讲总是被最先提到的AOM。
当你想让光“画出”复杂的图案,同时还想控制它的强度、频率和方向,就要用到AOM了,也就是——声光调制器。
此篇我们将从工作原理、核心参数到典型应用进行详细讲解,带你快速入门。
声光调制器(Acousto-Optic Modulator,简称AOM)的核心机制,是基于声光效应。简单来说,就是在晶体内部,用高频的超声波与激光发生相互作用。
我们可以用三步来理解它的工作原理:

图1 AOM布拉格衍射
1.声波入阵:一个压电换能器(Transducer)将高频的射频(RF)电信号转换为相同频率的超声波。这些超声波注入到特定的晶体(如二氧化碲)内部,引起晶格密度的周期性变化。这就像在水中投入一颗石子,形成了动态的疏密波。
2.光遇光栅:这个由超声波形成的、周期性的密度变化,会在晶体内瞬间创建一个移动的“体光栅”。当一束激光穿过这个区域时,就像光遇到了一个极精细的衍射光栅。
3.光随声动:激光与这个移动的光栅相互作用,一部分光的传播方向会发生偏折,频率也会发生微小的变化(这就是布拉格衍射)。通过改变超声波的频率和功率,我们就可以精确控制:
衍射光的强度(功率越大,衍射光越强)
衍射光的方向(频率改变,偏折角度也改变)
衍射光的频率(产生微小的频移)
最终,从AOM输出的光,就变成了一个可以被电子信号实时、快速调控的“听话”光束。
根据AOM在光路中的安装和使用形式,可分为两种主要类型:

理解了基本原理,当我们需要为实际应用选型时,以下几个关键参数是必须关注的。它们共同决定了AOM的性能和适用场景。
工作波长:指AOM设计用于调制的激光波长。不同波长的光在晶体中的折射率不同,因此AOM需要针对特定波长(如532 nm、1064 nm)对声光晶体进行镀膜以优化单色性。
中心频率:压电换能器的最佳工作射频频率,通常以MHz为单位(如80 MHz、200 MHz)。根据下方公式,它决定了器件的调制带宽和偏折角度。


衍射效率:指一级衍射光的功率与入射光功率的百分比。这是衡量AOM性能的核心指标,通常能达到80%以上。效率越高,光能利用率就越高。

图2 通光AOM的入射光及1级光示意图
上升时间:衍射光强度从10%上升到90%所需的时间。它决定了AOM能多快地“打开”或“关闭”光束,是衡量调制速度的关键。上升时间越短,调制速率越快(可达纳秒级)。
图3 上升时间示意图
调制带宽:AOM能有效处理的最大射频信号带宽,直接关联到它能支持的最高模拟调制频率或数字脉冲速率。
消光比:消光比体现的是“开”与“关”两种状态下的光强差异。消光比越高,关光越彻底,越适合激光开关和脉冲选通等应用。
衍射角:指零级光(未偏折光)与一级光(偏折光)之间的空间夹角。在一些需要空间分离光束的应用中,这是一个重要的设计参数。
通光孔径:声光晶体的通光窗口大小,是激光束必须穿过的区域,通光孔径应大于激光光束直径,避免光束被遮挡造成能量损失和衍射畸变。
驱动功率:施加在压电换能器上的射频电功率,转换为超声波驱动声光效应。声光优值高的材料(如TeO₂)驱动功率低;熔融石英驱动功率高但损伤阈值高。
损伤阈值:AOM能够承受的最大激光功率密度而不发生性能退化或物理损坏的极限值
从应用角度看,这些参数主要影响三件事:
第一,调制速度够不够快,主要看上升时间和调制带宽。
第二,输出光够不够强、够不够干净,主要看衍射效率和消光比。
第三,系统能不能稳定承受实际功率,主要看孔径、驱动功率和损伤阈值。
√ 超快光纤激光器选单应用
1064 nm声光调制器应用于超快光纤激光器中,实现对激光器种子源的高重频光脉冲选单。它通过在时域上形成特定重复频率(该重频低于种子源光脉冲重频)、单一脉冲宽度仅为数十纳秒的时域通光窗口,让所需的特定种子源脉冲通过,阻隔掉多余脉冲,从而降低种子源光脉冲的重复频率。
图4 FC(FiberCouple)AOM对50 MHz高重频的光脉冲选单
√ 光纤水听阵列时分复用系统应用
1550 nm声光调制器应用于光纤水听阵列时分复用系统,通过对阵列的连续激光器进行脉冲调制,以实现各阵元信号之间在时域上不重叠的目的,如图5所示 。
图5 FCAOM在光纤水听阵列时分复用中的应用
√ 宽带移频应用
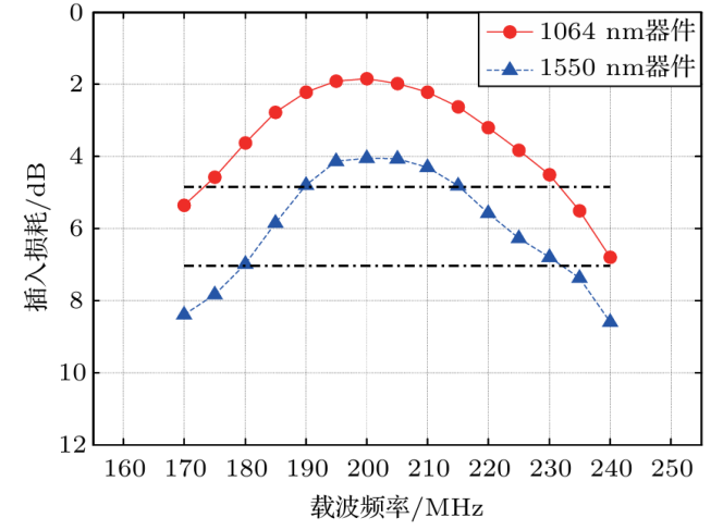
图6为1064 nm和1550 nm波长光纤型声光调制器分别在加载功率为1.8 W和2.2 W、频率范围170 MHz-240 MHz、以5 MHz为步进的等幅载波信号下的插入损耗实测结果。定义器件插入损耗从中心工作频率处增大3 dB的频率范围为器件的3 dB工作带宽,从结果中可以看出,两个波长器件的3 dB工作带宽均超过了50 MHz,即器件具备50 MHz宽带移频的应用潜力,在连续扫频、跳频激光信号的产生方面具备潜在应用前景。
图6 1064 nm、1550 nm器件的3 dB工作带宽